微信掃碼
不僅是專業的導購
還是聊車的好伙伴
微信掃碼
不僅是專業的導購
還是聊車的好伙伴
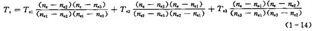
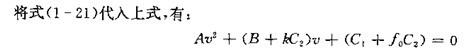
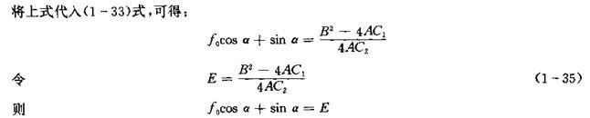
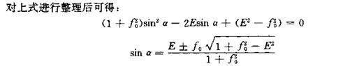
專用汽車性能參數計算是總體設計的主要內容之一,其目的是檢驗整車參數選擇是否合理,使用性能參數能否滿足要求,這里重點介紹整車的動力性,經濟性和穩定性等主要性能計算。
一、動力性計算
(一)發動機的外特性
發動機的外特性是指發動機油門全開時的速度特性,是汽車動力性計算的主要依據,外特性一般有三種獲得的方法,即由發動機廠家或汽車底盤制造廠家提供,直接由發動機臺架試驗測出或由經驗公式擬合。
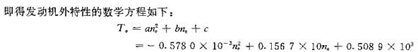
在外特性圖上,發動機的輸出轉矩和輸出功率隨發動機轉速變化的二條重要特性曲線(見圖1-30),為非線性曲線。工程實踐表明,可用二次三項式來描述汽車發動機的外特性,即


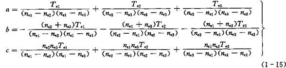
1、已知外特性曲線時,根據外特性數值建立外特性方程式,如果已知發動機的外特性,則可利用拉格朗日三點插值法求出公式(1-13)中的三個待定系數a 、b、 c、。在外特性曲線上取三個點即
,依拉氏插值三項式有:

將上式展開, 冪次高低全并,然后和(1-13)式比較系數,即可得三個待定系數為:

2、無外特性曲線時,按經驗公式擬合外特性方程式
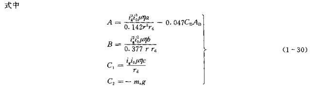
如果沒有所要的發動機外特性,但從發動機銘牌上知道該發動機的最大輸出功率
及相應轉速和該發動機的最大轉矩及相應轉速時,可用下列經驗公式來描述發動機的外特性:

應該指出的是發動機外特性曲線是在室內試驗臺架上測量出來的,臺架試驗時發動機未帶空氣濾清器,水泵,風扇,消聲器,發電機等附件,且試驗工況相對穩定,即能保持試驗時發動機的水,機油溫度在規定的數值內。帶上全部附件設備時的發動機特性曲線稱為使用外特性曲線。使用外特性的功率小于外特性的功率。因此應對臺架試驗數據用修正系數
由于各國發動機臺架試驗所執行的標準值不同,故修正系數
的取值亦不同,如下所列:

(二)汽車的行駛方程式
汽車的動力性可由汽車的行駛方程式表示,其計算公式為:

式中
----驅動力(N);
----滾動阻力(N);
----空氣阻力(N);
----坡道阻力(N);
----加速阻力(N);
1、驅動力
專用汽車在地面行駛時受到發動機的限制所能產生的驅動力
與動機輸出轉矩
的關系為:





















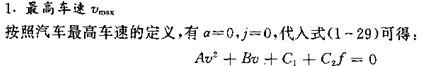
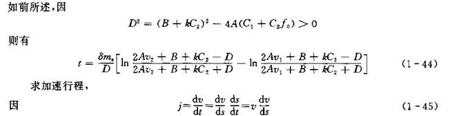
式(1-27)是汽車直線行駛時的驅動力和行駛阻力的平衡方程式,式(1-29)則反映了汽車在克服了外界其它阻力之后所具有的加速能力,由此可計算出評價車輛的動力性指標。
(三)動力性評價指標的計算
衡量汽車動力性能的評價指標有三個,即最高車速,最大爬坡度和加速性能,下面介紹這三個指標的計算。

















(四)動力性計算實例
圖1-31為某半掛冷藏車的外形圖,其發動機的外特性如圖1-30所示,整車的有關參數風表1-8和表1-9。


















重汽豪沃檢修車(大流量排水搶險車) 整車型號:CL5040TPS6ACC 現車價格美麗 底盤配置:豪華寬體駕駛室、濰柴151、160馬力、萬里揚5檔、2.0T/4.5T、700R16鋼絲胎、原廠導流罩,半包圍駕駛室內飾,液晶儀表盤,帶中控、電窗、織物座椅、氣喇叭、原廠空調,全包裹、車鑰匙遠程遙控玻璃升降!重汽豪沃檢修車(大流量排水搶險車)圖片展示:?
程力汽車公司主要銷售:冷藏車、吸污車、環衛垃圾車、吸糞車、道路清掃車、高空作業車 地址:湖北省·隨州市·南郊平原崗·程力汽車工業園 網站備案號:鄂ICP備18017768號-134
鄂公網安備 42130202001503號